Підсумковий річний тест (2). 8 клас. Тест 4

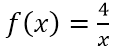
Питання №1: Функцію задано формулою Знайдіть

-1
-16
-4
-8

Питання №2: При яких значеннях змінної не має змісту вираз

-4; 0; 4
0; 2; 16
0; 2
0; 16

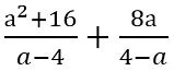
Питання №3: Виконайте додавання:

A
Б
В
Г

Питання №4: Скоротити дріб:

А
Б
В
Г

Питання №5: Подайте у вигляді степеня вираз a-16 ·a6 :a-5

a-15
a2
a-5
a5

Питання №6: Укажіть правильне твердження:

А
Б
В
Г

Питання №7: Розв’яжіть рівняння

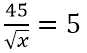
Питання №8: Обчисліть значення виразу

Питання №9: Звільніться від ірраціональності в знаменнику дробу

А
Б
В
Г

Питання №10: Знайдіть корені рівняння x2 + 4x - 21=0

Питання №11: Чому дорівнює сума коренів рівняння x2-6x-4=0

Питання №12:Розкладіть на множники многочлен -x2-4x+5=0

(х + 1)(х - 5)
(х - 1)(х + 5)
(1 - х)(х + 5)
(х + 1)(5 - х)