Головна
Тести (Інформатика)
8 клас
Опрацювання текстових даних
Тест 8. Форматування об’єктів текстового документа (списки, таблиці, формули)
№ 1 (2б)
Під час редагування таблиці можна …
A
додавати або видаляти рядки й стовпці
B
видаляти одну клітнку
C
змінювати розмір рядків, стовпців і клітинок
D
змінювати вміст клітинок
№ 2 (1б)
У вікні "Межі і заливка таблиці" можна налаштувати ...
A
Кольорову заливку абзаців
B
Товщину і вигляд ліній
C
Довжину і вигляд ліній
D
Колір заливки клітинки
№ 3 (2б)
Знайдіть правильні вислови
A
Список може нумеруватись числами та буквами
B
Кожний абзац нумерованого списку починається з відступу (або пробілу)
C
На початку кожного абзацу маркованого списку стоїть спеціальний символ - маркер
D
У складного списку завжди є маркери та числа
№ 4 (1б)
Знайдіть помилковий вислів
A
Мітки всіх наданих списків розташовані по зростанню
B
Перші рівні списків
В
та
С
- числові
C
Списки
А
та
В
- однорівневі
D
Другий рівень списку
С
- маркований
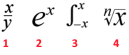
№ 5 (1б)
За допомогою якого інструмента конструктора формул можна створити формулу S=πR
2
?
A
3 - інтеграл
B
1 - дріб
C
4 - радикал
D
2 - індекс
№ 6 (1б)
Якщо перемістити зазначену на малюнку межу таблиці, то зміниться ширина …
A
третього стовпця й усієї таблиці
B
всіх стовпців таблиці
C
другого стовпця й усієї таблиці
D
другого й третього стовпців без зміни ширини всієї таблиці
№ 7 (1б)
Відновіть послідовність дій для змінення розмірів стовпця або рядка
A
Натиснути ліву кнопку миші
B
Відпустити кнопку миші
C
Перетягнути межу
D
Навести вказівник миші на межу стовпця або рядка
№ 8 (2б)
Як скасувати нумерацію кількох абзаців - елементів списку? (Виберіть усі потрібні дії )
A
Вимкнути кнопку нумерації на стрічці інструментів
B
Натиснути клавішу Enter
C
Натиснути клавішу Delete
D
Виділити потрібні абзаци (елементи списку)
№ 9 (1б)
Який спосіб надає можливість наочно задати кількість рядків і стовпців у таблиці?
A
B
C
D
Прийняти та перевірити