АЛГЕБРА
8 клас

Підсумковий річний тест з алгебри

(Варіант №2)

Чому б ти не навчався, ти навчаєшся для себе.           (Петроній)
Я зробив усе, що міг; хай хто може, зробить краще.    (Овідій)

Питання №1: Функцію задано формулою Знайдіть

-1 -16 -4 -8


Питання №2: При яких значеннях змінної не має змісту вираз

-4; 0; 4 0; 2; 16 0; 2 0; 16


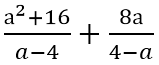
Питання №3: Виконайте додавання:

A Б В Г


Питання №4: Скоротити дріб:

А Б В Г


Питання №5: Подайте у вигляді степеня вираз a-16 ·a6 :a-5

a-15 a2 a-5 a5


Питання №6: Укажіть правильне твердження:

А Б В Г


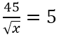
Питання №7: Розв’яжіть рівняння


Питання №8: Обчисліть значення виразу


Питання №9: Звільніться від ірраціональності в знаменнику дробу

А Б В Г


Питання №10: Знайдіть корені рівняння x2 + 4x - 21=0


Питання №11: Чому дорівнює сума коренів рівняння x2-6x-4=0


Питання №12:Розкладіть на множники многочлен -x2-4x+5=0

(х + 1)(х - 5)

(х - 1)(х + 5)

(1 - х)(х + 5)

(х + 1)(5 - х)