АЛГЕБРА
8 клас

Підсумковий річний тест з алгебри

(Варіант №1)

Чому б ти не навчався, ти навчаєшся для себе.           (Петроній)
Я зробив усе, що міг; хай хто може, зробить краще.    (Овідій)

Питання №1: Графіком якої з функції є гіпербола?


А Б В Г

Питання №2: При яких значеннях змінної надана функція не визначена?

2, 9

2, 3

-3, 2, 3

-3, 3

Питання №3: Виконайте віднімання:

A Б В Г

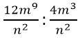
Питання №4: Виконайте ділення:

3m3

3m6

3m6n4

3m12n4

Питання №5:Спростіть вираз: 4a-6b2∙0,3a-2b-5

1,2a-8b-3

1,2a-4 b-3

1,2a8 b3

1,2a-4-73

Питання №6: Порівняйте значення виразів 0,24 і 0,2-4

0,24 < 0,2-4

0,24 = 0,2-4

0,24 > 0,2-4

порівняти неможливо

Питання №7: Чому дорівнюватиме порядок числа 0,048, якщо його записати в стандартному вигляді?

-3

-2

3

2

Питання №8: Знайдіть значення виразу при x=

3

-4

-3

4

Питання №9: Спростіть вираз

А Б В Г

Питання №10: Який з виразів має зміст при всіх значеннях змінної x ?

А Б В Г

Питання №11: Розвяжіть рівняння 7х2 - 26х - 8 = 0

А Б В Г

Питання №12: Сума коренів якого з даних квадратних рівнянь дорівнює 10 ?

х2 + 10х + 30 = 0

х2 + 30х - 10 = 0

х2 - 30х + 10 = 0

х2 - 10х - 30 = 0